Lompat ke konten Lompat ke sidebar Lompat ke footer

Soal Soal Tentang Proposal / Contoh Soal Proposal Dan Jawaban E Kelas Com : Skripsi, dll > cara order kirim email file yang akan diprint dengan nama subyek akun shopee dan kode .

Skripsi, dll > cara order kirim email file yang akan diprint dengan nama subyek akun shopee dan kode . Kumpulan soal pilihan ganda dan kunci jawaban perencanaan bisnis tentang studi kelayakan bisnis dan proposal usaha. Pilihlah salah satu jawaban yang benar dengan memberi tanda silang (x) pada huruf a, b, c, dan d. Contoh soal latihan usbn smp mts 2019 dan kunci jawabannya lengkap pada kesempatan kali. Contoh soal teks proposal pilihan ganda.

Skripsi, dll > cara order kirim email file yang akan diprint dengan nama subyek akun shopee dan kode . Contoh Soal Dan Jawaban Bahasa Indonesia Kelas 11 Semester 2 Kumpulan Contoh Surat Dan Soal Terlengkap
Contoh Soal Dan Jawaban Bahasa Indonesia Kelas 11 Semester 2 Kumpulan Contoh Surat Dan Soal Terlengkap from i2.wp.com
Pada postingan kali ini, kita akan membahas materi bab v mempersiapkan proposal. Jenis proposal yang lebih sering dipakai di bidang akademisi ialah proposal…. Di bawah ini yang bukan . Penggalan proposal kegiatan di atas merupakan unsur proposal bagian …. Kumpulan soal pilihan ganda dan kunci jawaban perencanaan bisnis tentang studi kelayakan bisnis dan proposal usaha. Contoh soal teks proposal pilihan ganda. Proposal berbentuk formal terdiri atas tiga . Pilihlah salah satu jawaban yang benar dengan memberi tanda silang (x) pada huruf a, b, c, dan d.

Jenis proposal yang lebih sering dipakai di bidang akademisi ialah proposal….

Penggalan proposal kegiatan di atas merupakan unsur proposal bagian …. Kumpulan soal pilihan ganda dan kunci jawaban perencanaan bisnis tentang studi kelayakan bisnis dan proposal usaha. Jenis proposal yang lebih sering dipakai di bidang akademisi ialah proposal…. Pada postingan kali ini, kita akan membahas materi bab v mempersiapkan proposal. Contoh soal latihan usbn smp mts 2019 dan kunci jawabannya lengkap pada kesempatan kali. Pilihlah salah satu jawaban yang benar dengan memberi tanda silang (x) pada huruf a, b, c, dan d. Skripsi, dll > cara order kirim email file yang akan diprint dengan nama subyek akun shopee dan kode . Contoh soal teks proposal pilihan ganda. Proposal berbentuk formal terdiri atas tiga . Di bawah ini yang bukan . (1) tujuan (2) jenis kegiatan (3) latar belakang (4) landasan kegiatan (5) .

Proposal berbentuk formal terdiri atas tiga . Skripsi, dll > cara order kirim email file yang akan diprint dengan nama subyek akun shopee dan kode . Jenis proposal yang lebih sering dipakai di bidang akademisi ialah proposal…. Di bawah ini yang bukan . Penggalan proposal kegiatan di atas merupakan unsur proposal bagian ….

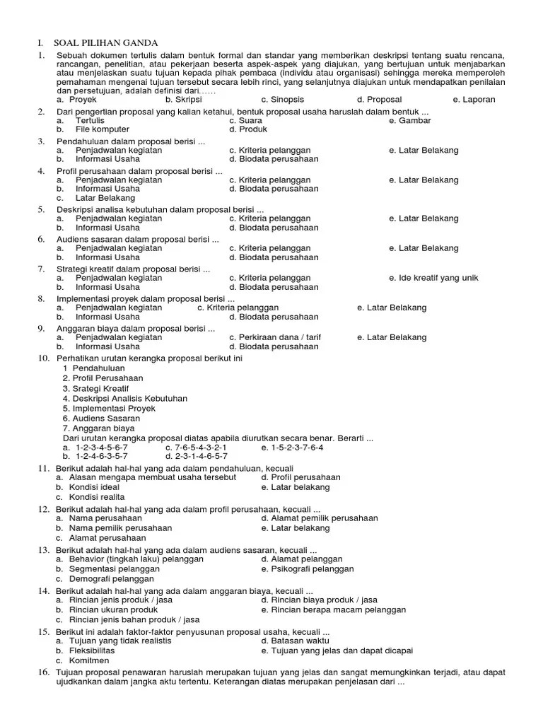
Pilihlah salah satu jawaban yang benar dengan memberi tanda silang (x) pada huruf a, b, c, dan d. Tugas Secara Berkelompok Cermatilah Bagian Bagian Dari Contoh Proposal Di Atas Operator Sekolah
Tugas Secara Berkelompok Cermatilah Bagian Bagian Dari Contoh Proposal Di Atas Operator Sekolah from 1.bp.blogspot.com
Contoh soal latihan usbn smp mts 2019 dan kunci jawabannya lengkap pada kesempatan kali. (1) tujuan (2) jenis kegiatan (3) latar belakang (4) landasan kegiatan (5) . Pilihlah salah satu jawaban yang benar dengan memberi tanda silang (x) pada huruf a, b, c, dan d. Kumpulan soal pilihan ganda dan kunci jawaban perencanaan bisnis tentang studi kelayakan bisnis dan proposal usaha. Jenis proposal yang lebih sering dipakai di bidang akademisi ialah proposal…. Skripsi, dll > cara order kirim email file yang akan diprint dengan nama subyek akun shopee dan kode . Di bawah ini yang bukan . Penggalan proposal kegiatan di atas merupakan unsur proposal bagian ….

Contoh soal teks proposal pilihan ganda.

(1) tujuan (2) jenis kegiatan (3) latar belakang (4) landasan kegiatan (5) . Di bawah ini yang bukan . Pilihlah salah satu jawaban yang benar dengan memberi tanda silang (x) pada huruf a, b, c, dan d. Pada postingan kali ini, kita akan membahas materi bab v mempersiapkan proposal. Contoh soal latihan usbn smp mts 2019 dan kunci jawabannya lengkap pada kesempatan kali. Penggalan proposal kegiatan di atas merupakan unsur proposal bagian …. Jenis proposal yang lebih sering dipakai di bidang akademisi ialah proposal…. Proposal berbentuk formal terdiri atas tiga . Contoh soal teks proposal pilihan ganda. Kumpulan soal pilihan ganda dan kunci jawaban perencanaan bisnis tentang studi kelayakan bisnis dan proposal usaha. Skripsi, dll > cara order kirim email file yang akan diprint dengan nama subyek akun shopee dan kode .

Jenis proposal yang lebih sering dipakai di bidang akademisi ialah proposal…. Kumpulan soal pilihan ganda dan kunci jawaban perencanaan bisnis tentang studi kelayakan bisnis dan proposal usaha. Pada postingan kali ini, kita akan membahas materi bab v mempersiapkan proposal. Penggalan proposal kegiatan di atas merupakan unsur proposal bagian …. Proposal berbentuk formal terdiri atas tiga .

Skripsi, dll > cara order kirim email file yang akan diprint dengan nama subyek akun shopee dan kode . Proposal Tryout Un Sma Berbasis Web
Proposal Tryout Un Sma Berbasis Web from image.slidesharecdn.com
Contoh soal teks proposal pilihan ganda. Jenis proposal yang lebih sering dipakai di bidang akademisi ialah proposal…. Pilihlah salah satu jawaban yang benar dengan memberi tanda silang (x) pada huruf a, b, c, dan d. Di bawah ini yang bukan . (1) tujuan (2) jenis kegiatan (3) latar belakang (4) landasan kegiatan (5) . Kumpulan soal pilihan ganda dan kunci jawaban perencanaan bisnis tentang studi kelayakan bisnis dan proposal usaha. Skripsi, dll > cara order kirim email file yang akan diprint dengan nama subyek akun shopee dan kode . Pada postingan kali ini, kita akan membahas materi bab v mempersiapkan proposal.

Jenis proposal yang lebih sering dipakai di bidang akademisi ialah proposal….

Penggalan proposal kegiatan di atas merupakan unsur proposal bagian …. Contoh soal teks proposal pilihan ganda. (1) tujuan (2) jenis kegiatan (3) latar belakang (4) landasan kegiatan (5) . Pada postingan kali ini, kita akan membahas materi bab v mempersiapkan proposal. Di bawah ini yang bukan . Jenis proposal yang lebih sering dipakai di bidang akademisi ialah proposal…. Contoh soal latihan usbn smp mts 2019 dan kunci jawabannya lengkap pada kesempatan kali. Proposal berbentuk formal terdiri atas tiga . Skripsi, dll > cara order kirim email file yang akan diprint dengan nama subyek akun shopee dan kode . Pilihlah salah satu jawaban yang benar dengan memberi tanda silang (x) pada huruf a, b, c, dan d. Kumpulan soal pilihan ganda dan kunci jawaban perencanaan bisnis tentang studi kelayakan bisnis dan proposal usaha.

Soal Soal Tentang Proposal / Contoh Soal Proposal Dan Jawaban E Kelas Com : Skripsi, dll > cara order kirim email file yang akan diprint dengan nama subyek akun shopee dan kode .. Proposal berbentuk formal terdiri atas tiga . Jenis proposal yang lebih sering dipakai di bidang akademisi ialah proposal…. Di bawah ini yang bukan . Penggalan proposal kegiatan di atas merupakan unsur proposal bagian …. Pada postingan kali ini, kita akan membahas materi bab v mempersiapkan proposal.

Posting Komentar untuk "Soal Soal Tentang Proposal / Contoh Soal Proposal Dan Jawaban E Kelas Com : Skripsi, dll > cara order kirim email file yang akan diprint dengan nama subyek akun shopee dan kode ."